Methyl methacrylate-based acrylics are best known for their rapid cure and extreme versatility
Acrylic reactive resins stand apart from other floor resurfacing and repair materials. Methyl methacrylate (MMA), the monomer used in acrylic reactive resins, provides them with their fast cure and physical performance characteristics. MMA systems consist of a primer (to seal the substrate), body coat (thin coatings as high as 20 mils or trowel-applied, self-leveling toppings of 1/8-inch to 1/4-inch thick) and topcoat (to seal the finished floor).
In industrial environments, acrylic reactive resins are used for new construction and floor renovations. They are best known for their rapid cure and versatility. MMA-based acrylics cure within one to two hours in temperatures ranging from -20 degrees Fahrenheit to more than 100 degrees Fahrenheit.
Figure 1. Warehouse floor application.
Substrate preparation
As with any floor resurfacing, substrate condition and preparation ensures a successful installation and a long-lasting bond.
Acrylic reactive resins are used on concrete, interior asphalt, wood, metal and some synthetic substrates. The substrate must be dry, sound, clean and contaminant-free. Allow new concrete to cure for at 28 days. Spalls, hollow surrounding areas, cracks, etc., must be repaired properly.
Shot blasting is the recommended substrate preparation method. It uses an enclosed dust-free process that can be adjusted to produce a range of surface profiles. Shot blasting removes laitance and weak concrete. It's often used in conjunction with power scrubbing to leach oils, fats and other contaminants from the substrate.
Once the substrate is cleaned, prepared and dried properly, bond tests determine the adequacy of substrate preparation. Bond tests mix quartz sand and a small batch of the selected primer system and apply it in palm-size patties 1/8-inch to 1/4-inch thick at various locations throughout the job site. After one hour, the patties must cure tack-free. They are then removed with a chisel and hammer.
The entire bond test area should show only concrete with fractured aggregate attached to its underside. If only laitance, fines or a small amount of concrete is attached, or if interface between patty and substrate is tacky, further substrate preparation is required. Proper tests help ensure that the bond will be deep and long-lasting bond (see Figure 2).
Figure 2. This is an example of a complete, successful bond test. The entire bond test area shows concrete with fractured aggregate attached to the entire underside.
Physical performance characteristics
Chemical components and cure.
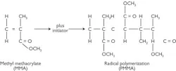
MMA-based resins cure via a radical polymerization reaction (see Figure 3). They have a low viscosity that is unaffected by temperature. MMA crystallizes at - 55 degrees Fahrenheit; full cure may be achieved within a couple of hours even at -20 degrees Fahrenheit. Adding "radical donors" in the form of 50% granular benzoyl peroxide powder initiates the curing process. The acrylic molecules, which are responsible for the performance properties of reactive resins, are already present and need not be produced by a chemical reaction. The sole function of the initiator is to override the inhibitor in the resin (which is added for storage and shipping) and to initiate the polymerization reaction. Thus, the initiator has no impact on the physical properties of the cured material. The chemical chain formation of the polymerized resin shows clearly that the main molecular chain is surrounded and protected by branched groups. This is why MMA- based acrylics have such excellent weathering and chemical resistance.
Figure 3. The radical polymerization reaction of MMA-based acrylic reactive resins.
The initiator almost dissolves instantaneously, giving the cured material its consistent and predictable physical properties. Once begun, the curing process is unstoppable, and is 99% complete in one to two hours. At that time, no unreacted monomer remains. This results in a system having stable physical properties. The fast-curing process allows quick repair and surfacing at a fraction of the time required for other flooring materials.
Strength
For toppings less than 1/4-inch thick, it's important that the material be capable of withstanding impact loads and temperature fluctuations without disbonding. The two variables having the greatest effect on substrate compatibility are not the compressive or tensile strength, but the modulus of elasticity and the coefficient of thermal expansion. For applications, more than 1/4 inch thick, these properties increase in importance.Acrylic reactive resins used for industrial flooring have a relatively lower modulus of elasticity, which means they are capable of passing on impact and other forces into the substrate without disbonding or sustaining damage.
Reparability
MMA-based acrylics offer a welded chemical bond between coats. This eliminates the need for expensive, time-consuming preparation of existing acrylic floors. No mechanical preparation or removal of existing flooring is necessary. Reactive acrylic resins bond to themselves, regardless of how long the installation has been in place. Fresh resin slightly dissolves the old surface and then cures with the new material (in one hour), forming a perfect, welded, monolithic bond and coating.
Figure 4. A close-up of acrylic reactive resin colored quartz floor,notice its textured, slip-resistant finish.
Chemical resistance
Methacrylate's reactive materials are 100% solids and solvent-free, and exceed volatile organic compound requirements. Methacrylates are resistant to many types of acids and caustics, especially the organic acids used in the food processing.Maintenance.
Generally, MMA-based acrylic reactive resin systems are installed resin rich and, therefore, are free of pores and voids throughout the entire thickness. This results in an impervious, waterproof finish that protects the underlying sub-floor from damage. Liquids, solids, oils and other industry-related substances cannot penetrate into the floor and are cleaned easily in a variety of ways, depending on surface texture and environment.Antimicrobial additives also can be added to MMA-based acrylic systems to increase protection against the growth of microorganisms, which reduces the probability of stains and odors.
Flooring design
Acrylic reactive resin flooring systems should be custom-designed to meet specific performance requirements and, most importantly, to ensure environmental compatibility. Thickness, color blends and degrees of texture and slip resistance can be controlled. Manufacturers offer a variety of resins which, when combined with the initiator, pigments, sands, fillers and aggregates, form a complete system. Colored flakes, quartz sands and pigments are used for decorative and slip-resistant purposes. Concrete repair and more extensive restoration work generally are done with trowel-applied polymer concretes and mortars.Proper installation techniques
Many manufacturers have approved and trained system applicators. It's important to observe appropriate guidelines and safety rules to ensure that the floor performs as specified. A complete installation process includes:
- [pullquote]
- Site survey. Determine needs and environmental factors.
- Material selection and specification. Select appropriate resins and other components.
- Application set-up. Necessary tools and materials on the job site.
- Surface preparation. Prepare and test substrate (bond tests).
- Installation. Apply flooring system as specified by manufacturer.
- Maintenance. Follow manufacturer's recommendations for cleaning and maintenance.
Selecting acrylic reactive resins
Not all MMA manufacturers and products are alike. It is important to understand the supplier, products and installer prior to specifying.
Some suggested guidelines to follow and questions to ask are:
- How long has the manufacturer been in the MMA-based resin business?
- Is it providing the highest grade/quality of MMA-based resins available?
- Is it a sole supplier with proven quality-control measures in place?
- What and how much experience does the manufacturer have in providing systems for your type of business/environment? Ask for references.
- Is a technical representative from the manufacturer available to answer questions and to be on-site during installation and provide follow-up?
- What warranties does the manufacturer and the installer provide?
- Who is the installer? How much experience does it have with MMA flooring systems? Did the manufacturer train the installer properly, and is it familiar with proper installation techniques and material handling protocols?
- What other support does the manufacturer and installer offer?
When purchasing from a reputable manufacturer and experienced installer, these rapid-curing systems are an ideal solution for interior and exterior installations in which minimal downtime is required. The low-temperature cure capability allows them to be used during cold weather and in freezers and coolers. They are highly resistant to UV light, staining and marring, and they do not chalk or yellow.
For more than 35 years, methyl methacrylate acrylic reactive resins have been used in environments such as food processing plants, pharmaceutical facilities and heavy industrial plants (see Figures 1 and 4).
Wilfried Riesterer is division president of Specialty Resin Systems, a division of Rohm America LLC, a subsidiary of Degussa. He can be reached at (800) 477-4545.




